AMSZ-Y数显盐度计
一、概述
AMSZ-Y数显盐度计是一款采用折射原理设计的数显高精度光学仪器,小巧美观,使用方便,LCD大屏幕液晶数字显示。只要将一滴样品溶液置于棱镜上,会在3秒之内显示测量数值,可以避免人为主观错误的数值判读。应用于各种酱菜、泡菜、腌制菜、盐渍食品、海水生物饲养、水族馆、生理盐水制备等领域。
二、功能特点
2.1 自动温度补偿功能。
2.2 电池供电,耗电量低,2分钟无操作自动关机功能。
2.3 折射率/盐度转换。
2.4 无可动部件,灵敏度高,动态线性范围宽。
2.5 样品和试剂用量少,分析速度快。
三、产品规格
项目 | 技术范围 |
测量范围 | 0.0-28.0% |
分度值 | 0.1%/0.1℃ |
精度 | ±0.2%/1℃ |
使用环境 | 10-40℃ |
样品量 | ≥0.2ml(3-5)滴 |
测量时间 | ≈3S |
电源 | 2节AAA碱性电池(7号) |
电池寿命 | ≈2000次 |
四、产品外观

ON/OFF:开/关机 CAL:零点校准
MEAS:测量/长按模式切换 TEMP:温度测量
五、使用说明
5.1 开机显示
轻按“ON/OFF”键开启仪器,开机后如果电量不足,则会自动关机,更换电池后方可正常使用。

5.2 模式切换
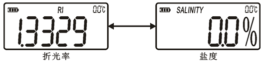
开机状态,长按“MEAS”键切换测量模式(盐度—折光率RI)。

5.3 仪器测定/测前须知
5.3.1 本仪器应在常温下工作,测量前应将本仪器与被测液体放置与同一温度下(温度相差不应超过2℃),否则将影响测试精度。
5.3.2 检测时应将被测液体摇晃均匀。
5.3.3 本仪器不可在强光下操作。
5.3.4 测量前应先零点校正。
5.3.5 测量前应先检查电池电量,电量过低将影响检测结果。
5.4 测量
D一步:测量时应将棱镜圆孔滴上纯净水,用软布擦拭干净。
D二步:滴入3~5滴溶液至棱镜圆孔。
D三步:轻按“MEAS”键,显示数值即为测试数据。

5.5 零点校准
5.5.1 将棱镜圆孔滴上纯净水,多次清洗,用软布擦干。
5.5.2 滴上纯净水至棱镜圆孔。
5.5.3 长按“CAL”键,直到屏幕出现“DONE”校准成功,否则出现“ER05”。
六、注意事项
6.1 零点校正确保纯净水干净。
6.2 每次测量前确保棱镜表面清洁干净。
6.3 仪器应在干燥常温下放置,避免长时间在高温和阳光下暴晒,防止出现误差,LCD失效。
6.4 不要将仪器放在水流下直接清洗,以免内部进水,损伤内部零件。
6.5 使用时应轻拿轻放,避免棱镜表面划伤或碰到。
6.6 为避免待测物因蒸发影响测试精度,取样及操作在短时间内完成。
6.7 电池电量过低会导致测量数据产生误差,请及时更换电池。
七、错误代码/帮助
显示 | 释义 | 排除措施 |
ER01 | 光传感异常 | 返厂维修 |
ER02 | 温传感异常 | 返厂维修 |
ER03 | 测量值过低 | 确认测量溶液是否正常 |
ER04 | 测量值过高 | 稀释测量溶液 |
ER05 | 校零溶液不正常 | 确认校准溶液是否正常 |
八、随机配件
1 | 数显盐度计 | 1台 |
2 | AAA碱性电池(7号) | 2节 |
3 | 说明书 | 1本 |
4 | 合格证 | 1份 |
5 | 眼镜布 | 2块 |
6 | 防水橡胶垫 | 1块 |
7 | 十字螺丝刀 | 1把 |
9 | 滴管 | 2只 |
10 | 十字槽盘头自攻螺钉M1.9*5 | 4支 |